6.5. Nodes and References¶
Our second method to represent a tree uses nodes and references. In this case we will define a class that has attributes for the root value, as well as the left and right subtrees. Since this representation more closely follows the object-oriented programming paradigm, we will continue to use this representation for the remainder of the chapter.
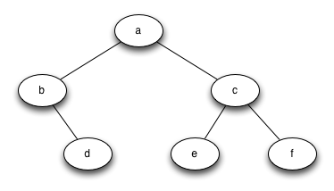
Using nodes and references, we might think of the tree as being structured like the one shown in Figure 2.

Figure 2: A Simple Tree Using a Nodes and References Approach
We will start out with a simple class definition for the nodes and
references approach as shown in Listing 4. The important thing
to remember about this representation is that the attributes left
and right
will become references to other instances of the
BinaryTree
class. For example, when we insert a new left child into
the tree we create another instance of BinaryTree
and modify
self.leftChild
in the root to reference the new tree.
Listing 4
class BinaryTree:
def __init__(self,rootObj):
self.key = rootObj
self.leftChild = None
self.rightChild = None
Notice that in Listing 4, the constructor function expects to get some kind of object to store in the root. Just like you can store any object you like in a list, the root object of a tree can be a reference to any object. For our early examples, we will store the name of the node as the root value. Using nodes and references to represent the tree in Figure 2, we would create six instances of the BinaryTree class.
Next let’s look at the functions we need to build the tree beyond the
root node. To add a left child to the tree, we will create a new binary
tree object and set the left
attribute of the root to refer to this
new object. The code for insertLeft
is shown in
Listing 5.
Listing 5
1 2 3 4 5 6 7 | def insertLeft(self,newNode):
if self.leftChild == None:
self.leftChild = BinaryTree(newNode)
else:
t = BinaryTree(newNode)
t.leftChild = self.leftChild
self.leftChild = t
|
We must consider two cases for insertion. The first case is
characterized by a node with no existing left child. When there is no
left child, simply add a node to the tree. The second case is
characterized by a node with an existing left child. In the second
case, we insert a node and push the existing child down one level in the
tree. The second case is handled by the else
statement on line
4 of Listing 5.
The code for insertRight
must consider a symmetric set of cases.
There will either be no right child, or we must insert the node between
the root and an existing right child. The insertion code is shown in
Listing 6.
Listing 6
def insertRight(self,newNode):
if self.rightChild == None:
self.rightChild = BinaryTree(newNode)
else:
t = BinaryTree(newNode)
t.rightChild = self.rightChild
self.rightChild = t
To round out the definition for a simple binary tree data structure, we will write accessor methods (see Listing 7) for the left and right children, as well as the root values.
Listing 7
def getRightChild(self):
return self.rightChild
def getLeftChild(self):
return self.leftChild
def setRootVal(self,obj):
self.key = obj
def getRootVal(self):
return self.key
Now that we have all the pieces to create and manipulate a binary tree,
let’s use them to check on the structure a bit more. Let’s make a simple
tree with node a as the root, and add nodes b and c as children. ActiveCode 1 creates the tree and looks at the some of the
values stored in key
, left
, and right
. Notice that both the
left and right children of the root are themselves distinct instances of
the BinaryTree
class. As we said in our original recursive
definition for a tree, this allows us to treat any child of a binary
tree as a binary tree itself.
Self Check
Write a function buildTree
that returns a tree using the nodes and references implementation that looks like this:
