7.15. General Depth First Search¶
The knight’s tour is a special case of a depth first search where the goal is to create the deepest depth first tree, without any branches. The more general depth first search is actually easier. Its goal is to search as deeply as possible, connecting as many nodes in the graph as possible and branching where necessary.
It is even possible that a depth first search will create more than one
tree. When the depth first search algorithm creates a group of trees we
call this a depth first forest. As with the breadth first search our
depth first search makes use of predecessor links to construct the tree.
In addition, the depth first search will make use of two additional
instance variables in the Vertex class. The new instance variables
are the discovery and finish times. The discovery time tracks the number
of steps in the algorithm before a vertex is first encountered. The
finish time is the number of steps in the algorithm before a vertex is
colored black. As we will see after looking at the algorithm, the
discovery and finish times of the nodes provide some interesting
properties we can use in later algorithms.
The code for our depth first search is shown in Listing 5. Since
the two functions dfs and its helper dfsvisit use a variable to
keep track of the time across calls to dfsvisit we chose to
implement the code as methods of a class that inherits from the
Graph class. This implementation extends the graph class by adding a
time instance variable and the two methods dfs and dfsvisit.
Looking at line 11 you will notice that the dfs method
iterates over all of the vertices in the graph calling dfsvisit on
the nodes that are white. The reason we iterate over all the nodes,
rather than simply searching from a chosen starting node, is to make
sure that all nodes in the graph are considered and that no vertices are
left out of the depth first forest. It may look unusual to see the
statement for aVertex in self, but remember that in this case self
is an instance of the DFSGraph class, and iterating over all the
vertices in an instance of a graph is a natural thing to do.
Listing 5
1 2 3 4 5 6 7 8 9 10 11 12 13 14 15 16 17 18 19 20 21 22 23 24 25 | from pythonds.graphs import Graph
class DFSGraph(Graph):
def __init__(self):
super().__init__()
self.time = 0
def dfs(self):
for aVertex in self:
aVertex.setColor('white')
aVertex.setPred(-1)
for aVertex in self:
if aVertex.getColor() == 'white':
self.dfsvisit(aVertex)
def dfsvisit(self,startVertex):
startVertex.setColor('gray')
self.time += 1
startVertex.setDiscovery(self.time)
for nextVertex in startVertex.getConnections():
if nextVertex.getColor() == 'white':
nextVertex.setPred(startVertex)
self.dfsvisit(nextVertex)
startVertex.setColor('black')
self.time += 1
startVertex.setFinish(self.time)
|
Although our implementation of bfs was only interested in
considering nodes for which there was a path leading back to the start,
it is possible to create a breadth first forest that represents the
shortest path between all pairs of nodes in the graph. We leave this as
an exercise. In our next two algorithms we will see why keeping track of
the depth first forest is important.
The dfsvisit method starts with a single vertex called
startVertex and explores all of the neighboring white vertices as
deeply as possible. If you look carefully at the code for dfsvisit
and compare it to breadth first search, what you should notice is that
the dfsvisit algorithm is almost identical to bfs except that on
the last line of the inner for loop, dfsvisit calls itself
recursively to continue the search at a deeper level, whereas bfs
adds the node to a queue for later exploration. It is interesting to
note that where bfs uses a queue, dfsvisit uses a stack. You
don’t see a stack in the code, but it is implicit in the recursive call
to dfsvisit.
The following sequence of figures illustrates the depth first search algorithm in action for a small graph. In these figures, the dotted lines indicate edges that are checked, but the node at the other end of the edge has already been added to the depth first tree. In the code this test is done by checking that the color of the other node is non-white.
The search begins at vertex A of the graph (Figure 14). Since all of the vertices are white at the beginning of the search the algorithm visits vertex A. The first step in visiting a vertex is to set the color to gray, which indicates that the vertex is being explored and the discovery time is set to 1. Since vertex A has two adjacent vertices (B, D) each of those need to be visited as well. We’ll make the arbitrary decision that we will visit the adjacent vertices in alphabetical order.
Vertex B is visited next (Figure 15), so its color is set to gray and its discovery time is set to 2. Vertex B is also adjacent to two other nodes (C, D) so we will follow the alphabetical order and visit node C next.
Visiting vertex C (Figure 16) brings us to the end of one branch of the tree. After coloring the node gray and setting its discovery time to 3, the algorithm also determines that there are no adjacent vertices to C. This means that we are done exploring node C and so we can color the vertex black, and set the finish time to 4. You can see the state of our search at this point in Figure 17.
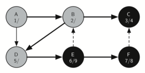
Since vertex C was the end of one branch we now return to vertex B and continue exploring the nodes adjacent to B. The only additional vertex to explore from B is D, so we can now visit D (Figure 18) and continue our search from vertex D. Vertex D quickly leads us to vertex E (Figure 19). Vertex E has two adjacent vertices, B and F. Normally we would explore these adjacent vertices alphabetically, but since B is already colored gray the algorithm recognizes that it should not visit B since doing so would put the algorithm in a loop! So exploration continues with the next vertex in the list, namely F (Figure 20).
Vertex F has only one adjacent vertex, C, but since C is colored black there is nothing else to explore, and the algorithm has reached the end of another branch. From here on, you will see in Figure 21 through Figure 25 that the algorithm works its way back to the first node, setting finish times and coloring vertices black.
Figure 14: Constructing the Depth First Search Tree-10
Figure 15: Constructing the Depth First Search Tree-11
Figure 16: Constructing the Depth First Search Tree-12
Figure 17: Constructing the Depth First Search Tree-13
Figure 18: Constructing the Depth First Search Tree-14
Figure 19: Constructing the Depth First Search Tree-15
Figure 20: Constructing the Depth First Search Tree-16
Figure 21: Constructing the Depth First Search Tree-17
Figure 22: Constructing the Depth First Search Tree-18
Figure 23: Constructing the Depth First Search Tree-19
Figure 24: Constructing the Depth First Search Tree-20
Figure 25: Constructing the Depth First Search Tree-21
The starting and finishing times for each node display a property called the parenthesis property. This property means that all the children of a particular node in the depth first tree have a later discovery time and an earlier finish time than their parent. Figure 26 shows the tree constructed by the depth first search algorithm.
Figure 26: The Resulting Depth First Search Tree